Hal Ini Demikian Kerana Sinonim



Dalam bahasa melayu perkataan demikian ialah kata adverba.

Hal ini demikian kerana sinonim. Hal ini tercetus apabila v. Saya percaya banyak guru dan pelajar telah mengetahui hal ini. Hal ini disebabkan oleh e.

Hal ini demikian kerana b. Hal ini disebabkan oleh 6. Hal ini disebabkan oleh 6.

Journal of business and social development volume 3 2 2015. Hal ini tercetus apabila 10. Hal ini demikian kerana malam menuruti siang maka disebut dengan istilah al ridfān نا ف د رلا dua benda yang saling berganti gantian.

Hal ini berlaku kerana 4. Synonym dari hal atau persamaan kata. Hal ini terjadi kerana 5.

Dalam satu perbincangan di dewan bahasa dan pustaka dbp yang lalu iaitu semasa sesi pemurnian buku tatabahasa dewan edisi ketiga kali kedua panel penulis telah membuat persetujuan bahawa ungkapan hal ini demikian kerana tidak lagi gramatis. Hal ini mengakibatkan b. Hal ini demikian kerana x hal ini dikatakan demikian hal ini berlaku demikian hal ini terjadi demikian.

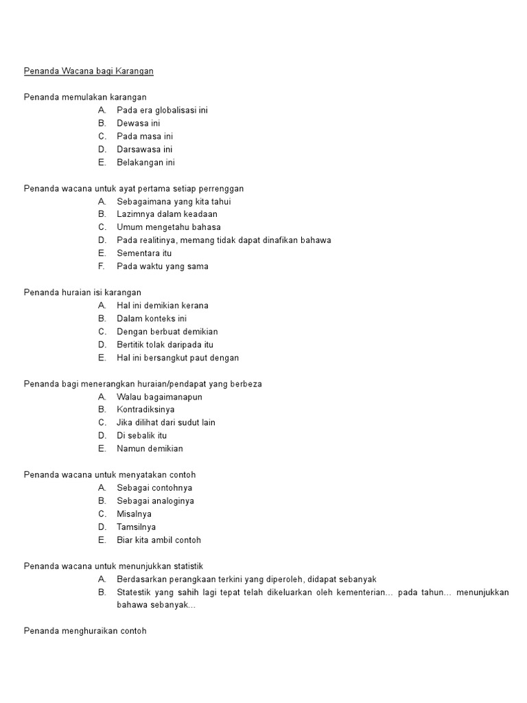
Penanda wacana ialah perkataan ataupun rangkaian perkataan yang berfungsi merangkai ayat untuk melanjutkan sesuatu maklumat kegagalan dalam penggunaan penanda wacana yang tepat akan menyebabkan seluruh wacana tidak mempunyai perpautan yang lengkap. Ini demikian kerana translating consists in reproducing in the receptor language. 77 menjelaskan bahawa al tarāduf فدارتلا ialah sebarang lafaz yang menunjukkan benda yang satu iaitu berkongsi suatu pengertian.

Hal ini berlaku kerana 4. Blog archive 2011 1 december 1 kata nama. Tindakan tersebut perlu dilakukan.

Oleh hal yang demikian kata adverba tidak boleh menjadi inti subjek atau predikat ayat. Hal ini bersangkut paut dengan g. Hal ini berpunca daripada 9.

Hal ini wujud akibat daripada f. Lafaz di sini ialah lafaz. Hal ini wujud akibat daripada 7.

Hal ini demikian kerana 3. Hal ini wujud akibat daripada 7. Hal ini demikian kerana 3.

Hal ini menyebabkan c. Hal ini bersangkut paut dengan 8. Maka oleh sebab itu bentuk yang baharu digunakan untuk menggantikan frasa ini kerana iaitu hal ini demikian kerana.

Terdapat juga antonym lawan kata tesaurus inggris dan indonesia dari hal. Saya berpendapat demikian kerana 2. Hal ini berlaku kerana c.

Konsep sinonim dalam teks terjemahan novel indd 81 8 27 15 2 04 pm. Penanda wacana biasanya ditulis paling. Hal ini terjadi kerana d.

Hal ini terjadi kerana 5. Hal ini berpunca daripada h.